Conference Proceedings

K. Mathwig, D. Mampallil, S. Kang and S. G. Lemay
Detection of Sub-Picoliter-per-Minute Flows by Electrochemical Autocorrelation Spectroscopy
Proceedings of the 16th International Conference on Miniaturized Systems for Chemistry and Life Science, Okinawa, Japan, Oct. 28 – Nov. 1 (2012) 28.
[pdf]

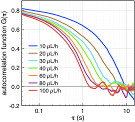
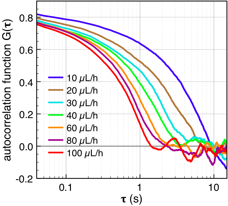
This paper reports on electrochemical autocorrelation spectroscopy as a technique to detect ultra-low liquid flow rates as well as to generally study transport of small amounts of molecules in a nanofluidic channel. The molecules undergo pronounced number fluctuations due to Brownian motion. We measure these fluctuations electrically using nanogap transducers embedded in the walls of a nanochannel. When liquid is driven through the channel, also the fluctuations are transported at the same velocity, which we detect by performing an autocorrelation analysis of current-time traces obtained at the detector. Thereby we are able to determine record-low flow rates below 1 pL/min.